Magna Concursos
2583030 Ano: 2022
Disciplina: Física
Banca: SELECON
Orgão: AMAZUL

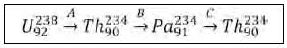
Um núcleo radioativo pai decai, transmutando-se para um núcleo-filho, e este para um núcleo-neto, e assim por diante até adquirir a estabilidade.

Enunciado 3323812-1

As partículas emitidas em cada processo de decaimento são:

Questão Anulada

Provas

Questão presente nas seguintes provas

Especialista de Radioproteção

60 Questões