Magna Concursos
2839835 Ano: 2020
Disciplina: Matemática
Banca: GUALIMP
Orgão: Pref. Conceição Macabu-RJ
Provas:

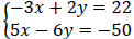
Observe o sistema abaixo:


enunciado 3256705-1


Sendo x e y a solução (x, y) desse sistema, qual o valor da expressão 2x + y ?

Questão Anulada

Provas

Questão presente nas seguintes provas

Auxiliar Administrativo

40 Questões