Magna Concursos
155290 Ano: 2018
Disciplina: Engenharia Eletrônica
Banca: CESGRANRIO
Orgão: Transpetro
Provas:

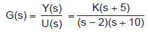
Seja um sistema de 2a ordem, linear e analógico, que liga um sinal U de entrada ao sinal Y de saída e cujo modelo é representado pela função de transferência

Enunciado 155290-1

Esse modelo foi submetido a uma realimentação proporcional de saída, fazendo com que o ganho K varie no intervalo 0 < K < + ∞.

Na configuração acima descrita, vai ocorrer que, para um determinado valor do ganho K, um dos dois polos de malha fechada será zero, e o outro polo, consequentemente, terá valor igual a

 

Provas

Questão presente nas seguintes provas

Engenheiro Eletricista

70 Questões