Magna Concursos
850317 Ano: 2016
Disciplina: Química
Banca: ENEM
Orgão: ENEM
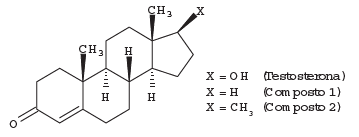
A lipofilia é um dos fatores fundamentais para o planejamento de um fármaco. Ela mede o grau de afinidade que a substância tem com ambientes apolares, podendo ser avaliada por seu coeficiente de partição.
Enunciado 850317-1
NOGUEIRA, L. J; MONTANARI, C.A; DONNICI C.L. H de Hansch. Revista Virtual de Química, n. 3, 2009 (adaptado).
Em relação ao coeficiente de partição da testosterona, as lipofilias dos compostos 1 e 2 são, respectivamente,
 

Provas

Questão presente nas seguintes provas