Magna Concursos
124535 Ano: 2010
Disciplina: Engenharia Elétrica
Banca: CESPE / CEBRASPE
Orgão: INMETRO
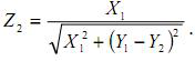
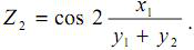
Medições realizadas indicam que determinada instalação elétrica possui potência ativa igual X1 a watts e potência reativa igual a Y1 volt-ampere-reativo, resultando em um fator de potência indutiva Z1. Um banco de capacitores foi utilizado para corrigir o fator de potência, acrescentando Y2 volt-ampere-reativo à instalação. Nessa situação, o novo fator de potência, Z2, da instalação é tal que
 

Provas

Questão presente nas seguintes provas

Pesquisador - Engenharia Elétrica

70 Questões