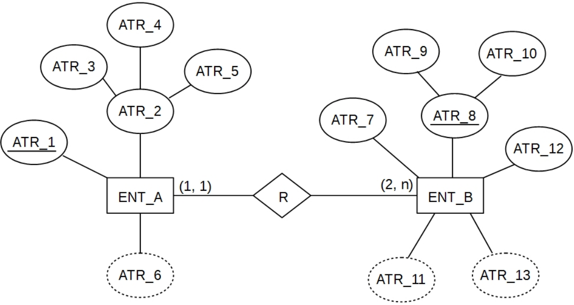
O diagrama a seguir servirá de base para a questão 18.

Com base no Diagrama de Entidade-Relacionamento apresentado, analise as afirmações dadas a seguir.
1. a entidade de nome ENT_A possui um atributo composto.
2. a entidade de nome ENT_B possui dois atributos compostos.
3. a chave primária (ou atributo-chave) da entidade de nome ENT_A é composta.
4. a chave primária (ou atributo-chave) da entidade de nome ENT_B é composta.
5. há uma relação de um-para-muitos entre as entidades ENT_A e ENT_B.
6. há uma relação de muitos-para-muitos entre as entidades ENT_A e ENT_B.
Dentre todas as afirmações apresentadas, estão corretas: