Magna Concursos
3384223 Ano: 2024
Disciplina: Matemática
Banca: Consulplan
Orgão: SEED-PR
Provas:

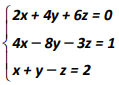
Considere o seguinte sistema linear:

Enunciado 3873893-1

É correto afirmar que esse sistema tem solução:

 

Provas

Questão presente nas seguintes provas