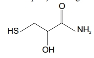
Em todas as células do nosso organismo, o aparato genético está dedicado à síntese de proteínas. Proteínas são constituídas de aminoácidos e, segundo sua topologia, podem ser classificadas como fibrosas ou globulares. Um exemplo de proteína fibrosa é a queratina, a principal proteína do cabelo humano. Um dos aminoácidos dessa proteína é a cisteína, cuja estrutura é apresentada na figura I acima. A forma que o cabelo assume depende das interações entre as suas proteínas. A figura II mostra uma representação esquemática das ligações laterais de cadeias em queratinas.
Considerando essas informações, julgue o item a seguir.
A cisteína é isômero de posição da seguinte molécula.
