2424849
Ano: 2012
Disciplina: TI - Desenvolvimento de Sistemas
Banca: DIRENS Aeronáutica
Orgão: EEAr
Disciplina: TI - Desenvolvimento de Sistemas
Banca: DIRENS Aeronáutica
Orgão: EEAr
Provas:
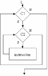
Selecione a alternativa com o trecho de programa em português estruturado correspondente ao diagrama de blocos da figura abaixo.
Considere: C1 = Condição 1 e C2 = Condição 2.
