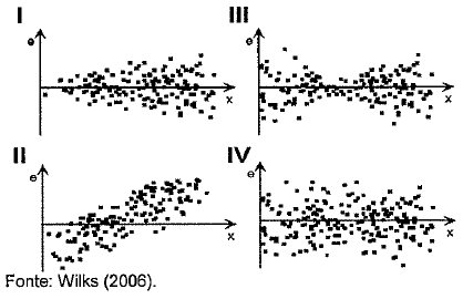
Examine os gráficos abaixo.

Os gráficos acima apresentam situações idealizadas da distribuição de erros residuais (e) obtidos em uma regressão linear, apresentados no eixo das ordenadas, para uma variável preditora (x), no eixo das abscissas. Com base nessas informações, assinale a opção que apresenta o correto diagnóstico dos resíduos apresentados.
Provas
Questão presente nas seguintes provas