Magna Concursos
994321 Ano: 2019
Disciplina: Matemática
Banca: FUNDATEC
Orgão: Pref. Maçambara-RS
Provas:

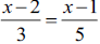
O valor de “x” que resolve a proporção enunciado 994321-1 é:

 

Provas

Questão presente nas seguintes provas