As reações orgânicas são de fundamental importância para o desenvolvimento da Ciência, desde a síntese de novos materiais até a produção de fármacos.
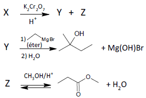
Observe a sequência reacional apresentada a seguir, em que X, Y e Z representam compostos orgânicos distintos.

A partir da análise da sequência apresentada, é correto afirmar que o
Provas
Questão presente nas seguintes provas