Magna Concursos
1958965 Ano: 2020
Disciplina: Matemática
Banca: GUALIMP
Orgão: Pref. Areal-RJ

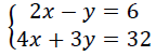
Observe o sistema de equações do 1º grau abaixo

enunciado 790920-1

Qual é o conjunto solução desse sistema de equações?

 

Provas

Questão presente nas seguintes provas

Agente de Combate às Endemias

40 Questões