Magna Concursos
1706824 Ano: 2001
Disciplina: Matemática
Banca: FGV
Orgão: SPTrans
Provas:

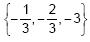
O polinômio P(x)=9x3 -36x2 +29x -6 é divisível por x- 3. O conjunto solução da equação P(x) = 0 é :

 

Provas

Questão presente nas seguintes provas

Especialista em Transporte

60 Questões