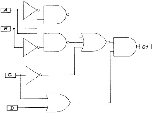
Observe o diagrama esquemático elétrico abaixo.

Com base no diagrama apresentado, assinale a opção que apresenta a função Boleana executada.
Observe o diagrama esquemático elétrico abaixo.

Com base no diagrama apresentado, assinale a opção que apresenta a função Boleana executada.