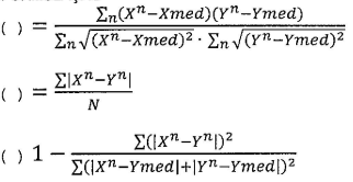
Sobre validação dos resultados dé modelos utilizados em oceanografia, correlacione a denominação à sua formulação e assinale a opção que apresenta a sequência correta.
DENOMINAÇÃO
I- Erro absoluto médio.
II- Erro absoluto médio relativo à média.
lll- Coeficiente de correlação linear.
IV- Skill
FORMULAÇÃO

Dados: Xn = resultados de um modelo; Yn = observações e med = média.
Provas
Questão presente nas seguintes provas