Magna Concursos
1341662 Ano: 2008
Disciplina: Matemática
Banca: CESPE / CEBRASPE
Orgão: Petrobrás

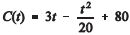
Uma preocupação de todos os governantes é a busca por fontes alternativas de energia que possam diminuir a dependência mundial do petróleo. Suponha que o consumo de petróleo por todo o planeta, em milhões de barris diários, possa ser estimado pela equação Enunciado 1341662-1 , em que t = 0 corresponde ao ano de 2004, t = 1, ao ano de 2005, e assim sucessivamente. Com base nessa estimativa, julgue os itens a seguir.

Em 2009, o consumo mundial de petróleo será superior a 93 milhões de barris diários.

 

Provas

Questão presente nas seguintes provas

Técnico de Operação

120 Questões