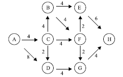
No planejamento da reforma de uma edificação, foi montado o diagrama de PERT/CPM, onde os eventos são representados por letras em círculos e a duração das atividades (em semanas) entre eventos é dada junto das setas. Pelo conceito de caminho crítico, o tempo mínimo para conclusão da construção é de
