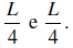
NAS QUESTÕES NUMERADAS DE 16 A 40, ASSINALE A ÚNICA ALTERNATIVA QUE RESPONDE CORRETAMENTE AO ENUNCIADO.
Para construir um retângulo com área máxima a partir de um pedaço de arame de comprimento L, as dimensões do retângulo devem ser:
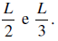
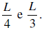
NAS QUESTÕES NUMERADAS DE 16 A 40, ASSINALE A ÚNICA ALTERNATIVA QUE RESPONDE CORRETAMENTE AO ENUNCIADO.
Para construir um retângulo com área máxima a partir de um pedaço de arame de comprimento L, as dimensões do retângulo devem ser: