Analise o heredograma a seguir.

O padrão de herança mendeliana apresentado no heredograma acima (onde os símbolos escuros representam pessoas afetadas e os símbolos com ponto, portadores assintomáticos) é característico de uma doença de:
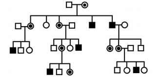
Analise o heredograma a seguir.

O padrão de herança mendeliana apresentado no heredograma acima (onde os símbolos escuros representam pessoas afetadas e os símbolos com ponto, portadores assintomáticos) é característico de uma doença de: