Magna Concursos
422513 Ano: 2017
Disciplina: Matemática
Banca: IBFC
Orgão: EMBASA

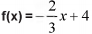
Substituindo o valor da raiz da função enunciado 422513-1, na função g(x) = x2 - 4x + 5, encontramos como resultado:

 

Provas

Questão presente nas seguintes provas

Agente Operacional

70 Questões

Assistente de Laboratório

70 Questões