
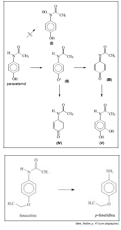
Os esquemas acima ilustram o metabolismo parcial de duas drogas: o paracetamol e a fenacetina. O estudo do metabolismo de um fármaco é importante, pois o conhecimento das possíveis substâncias formadas nas etapas de biotransformação fornece idéia dos possíveis efeitos colaterais e das substâncias a eles associadas, bem como dos virtuais marcadores moleculares da presença dessa droga no organismo.
No contexto do texto I, considerando as informações e os esquemas acima, julgue os itens a seguir.
A fenacetina é mais básica que a p-fenetidina.
Provas
Questão presente nas seguintes provas
Perito Criminal Federal - Engenharia Química
120 Questões