- FundamentosPotenciação e RadiciaçãoRadiciação
- FundamentosPotenciação e RadiciaçãoPotenciação
- Álgebra
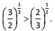
Com relação à potenciação e à radiciação, aos números naturais (N), aos números inteiros (Z) e aos números racionais (Q), julgue o item
É correto afirmar que
É correto afirmar que

Provas
Questão presente nas seguintes provas
Agente - Financeiro
120 Questões
Agente Administrativo
120 Questões
Auxiliar Administrativo
120 Questões