
Lúcia Baptistella, Rosana Giacomini e Paulo Imamura. Síntese dos analgésicos paracetamol e fenacetina e do adoçante dulcina: um projeto para química orgânica experimental. In: Química Nova, Vol. 26, n.º 2, 2003, p. 284-286.
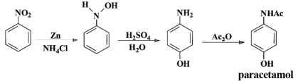
O paracetamol diferencia-se dos AINEs (anti-inflamatórios não esteroidais) clássicos porque apresenta efeitos analgésicos e antipiréticos sem apresentar ações anti-inflamatórias ou anticoagulantes significativas. Considerando a reação de síntese do paracetamol apresentada na imagem precedente, julgue os itens a seguir.
O zinco metálico é capaz de reduzir a ligação N–O, produzindo as funções N–H e O–H sem alterar a estrutura ou estereoquímica do resto da molécula. No caso em tela, o produto final é um aminoálcool com relação 1,3 entre os grupos OH e NH.