Magna Concursos
190851 Ano: 2014
Disciplina: Matemática
Banca: FGV
Orgão: DPE-RJ
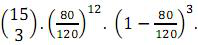
As pessoas que procuram a Defensoria Pública podem estar interessadas em ingressar com um processo para garantir seus direitos ou se defender em processos, ajuizados contra elas. Em um determinado mês, de um total de 120 casos, 80 dos atendidos eram autores enquanto os outros 40 figuravam como réus. Se uma amostra de 15 processos, daquele mês, é selecionada ao acaso, a probabilidade de que 20% sejam réus é igual a
 

Provas

Questão presente nas seguintes provas

Técnico de Nível Superior - Estatística

80 Questões