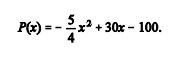
Considere que, em determinado dia, um computador seja
ligado às 5 horas e desligado às 19 horas e que, nesse intervalo de
tempo, a porcentagem da memória desse computador que esteja
sendo utilizada na hora x seja dada pela expressão

Nessa situação, no intervalo de tempo considerado, na hora em que a memória do computador estiver sendo mais demandada, a porcentagem utilizada será igual a

Nessa situação, no intervalo de tempo considerado, na hora em que a memória do computador estiver sendo mais demandada, a porcentagem utilizada será igual a