Magna Concursos
552589 Ano: 2014
Disciplina: Engenharia Elétrica
Banca: FADESP
Orgão: Pref. Parauapebas-PA
Provas:
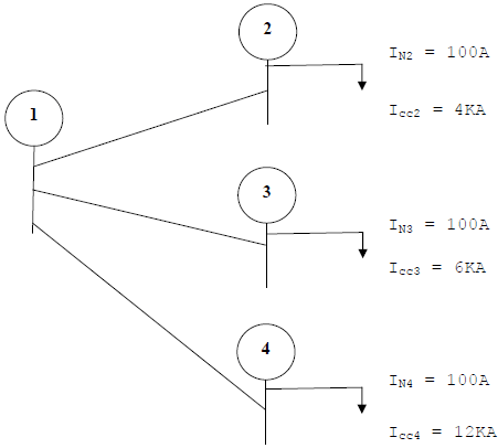
A rede elétrica a seguir funciona em 60 HZ e é constituída de quatro barras, sendo que a barra 1 é de onde é fornecida a alimentação para as outras barras. Todas as linhas de interligações entre as barras são trifásicas e constituídas de cabos de cobre isolados. Cada linha é protegida por disjuntor automático operado por relé com tempo de atuação ajustado para um segundo para eliminação de um curto circuito. Considerando-se as tabelas fornecidas, a solução técnica e econômica para as linhas que interligam as barras 1-2, 1-3, e 1-4, nesta ordem, é
Enunciado 552589-1
AMPACIDADE DE CABOS – LINHA TRIFÁSICA
Enunciado 552589-2
Enunciado 552589-3
 

Provas

Questão presente nas seguintes provas

Engenheiro Eletricista

40 Questões