Magna Concursos
3524920 Ano: 2024
Disciplina: Matemática
Banca: ADM&TEC
Orgão: Pref. Iguaracy-PE

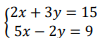
Considerando que:

Enunciado 4066630-1

Qual é o valor do dobro da soma entre x e y?

 

Provas

Questão presente nas seguintes provas

Professor do Ensino Fundamental - Matemática

40 Questões