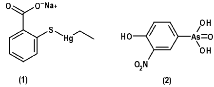
O timerosal e o roxarsone são compostos que apresentam toxicidade em sistemas biológicos, além de serem poluidores ambientais. O timerosal já foi utilizado como princípio ativo do Merthiolate e o roxarsone era empregado na engorda de frangos e porcos, mas a utilização desses compostos para essas finalidades está proibida no Brasil. As estruturas químicas do timerosal (1) e do roxarsone (2) são:

Os possíveis efeitos tóxicos e o impacto ambiental do timerosal (1) e da roxarsone (2) estão associados à presença, na estrutura dos compostos, de
Provas
Questão presente nas seguintes provas