A questão toma por base o texto.
Descarga de hormônios
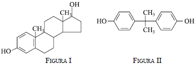
Algumas substâncias químicas são capazes de interagir com os receptores de estrógeno (Figura I) e comprometer o sucesso reprodutivo de várias espécies animais. “Disfarçadas” de hormônio, elas produzem uma mensagem enganosa que pode fazer a célula se multiplicar, morrer ou até produzir certas proteínas na hora errada.
Uma das substâncias apontadas pelos cientistas como capaz de mimetizar os efeitos dos hormônios é o bisfenol A (Figura II), usado em produtos de plástico policarbonato, tais como embalagens reutilizáveis de bebidas, mamadeiras, utensílios e muitos outros produtos de uso diário. Com o tempo, ele se desprende dos materiais e contamina o ambiente doméstico, atingindo o esgoto e os cursos d’água.

(Unespciência. N.º 6, março de 2010. Adaptado.)
Buscando diferenças e semelhanças entre as estruturas estrógeno e bisfenol A, é correto afirmar que ambos