Magna Concursos
219666 Ano: 2018
Disciplina: Engenharia Elétrica
Banca: FGV
Orgão: COMPESA

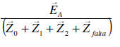
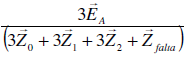
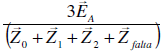
A tensão de pré-falta no ponto em que ocorre um curto-circuito entre fase e terra por meio de uma impedância enunciado 219666-1 é igual a enunciado 219666-2. Considerando que as impedâncias dos equivalentes de Thévenin de sequência zero, positiva e negativa vistas do ponto da falta são respectivamente iguais a enunciado 219666-3, a corrente de curto-circuito é igual a:

 

Provas

Questão presente nas seguintes provas