1213696
Ano: 2004
Disciplina: TI - Desenvolvimento de Sistemas
Banca: CESGRANRIO
Orgão: Pref. Manaus-AM
Disciplina: TI - Desenvolvimento de Sistemas
Banca: CESGRANRIO
Orgão: Pref. Manaus-AM
- Fundamentos de ProgramaçãoAlgoritmosConceitos Básicos de Algoritmos
- Fundamentos de ProgramaçãoEstruturas de Dados
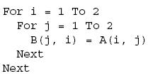
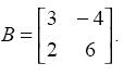
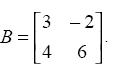
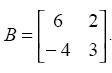
Um Analista de Sistemas recebeu a tarefa de implementar uma sub-rotina que, a partir de uma matriz de entrada "A", gerasse uma outra matriz de saída "B". Um pedaço desta sub-rotina, implementada em Visual Basic 6.0, está apresentado abaixo.

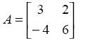
Considere a matriz A = (aij) de dimensão 2 x 2, a seguir, onde aij são os elementos da matriz A.

Nesta matriz, por exemplo, o elemento a11 possui o valor 3. A matriz "B" resultante da execução do algoritmo acima, tendo a matriz "A" como entrada, é:

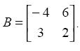
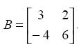
Considere a matriz A = (aij) de dimensão 2 x 2, a seguir, onde aij são os elementos da matriz A.

Nesta matriz, por exemplo, o elemento a11 possui o valor 3. A matriz "B" resultante da execução do algoritmo acima, tendo a matriz "A" como entrada, é: