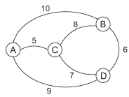
Quatro lugares A, B, C e D estão interligados, sendo possível ir diretamente de qualquer um deles a qualquer outro.
Os comprimentos dos caminhos entre eles, em quilômetros, estão representados na figura a seguir:

Carlos está no lugar A e precisa passar uma única vez em cada um dos outros três lugares para coletar malotes e voltar para A.
O menor caminho que ele pode percorrer mede