Magna Concursos
887434 Ano: 2004
Disciplina: TI - Segurança da Informação
Banca: CESPE / CEBRASPE
Orgão: STJ
Provas:

Acerca de criptografia, uma das técnicas fundamentais para a segurança da informação, de protocolos criptográficos e de sistemas de criptografia e aplicações, julgue os itens subseqüentes.

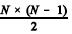
Um dos fatores que complicam o emprego de sistemas de criptografia simétricos com chave privada única é a necessidade de distribuir e armazenar enunciado 887434-1 chaves, caso haja um canal criptográfico próprio para cada par de usuários em um conjunto de N usuários.

 

Provas

Questão presente nas seguintes provas

Analista Judiciário - TI

150 Questões