Magna Concursos
625161 Ano: 2013
Disciplina: Economia
Banca: CESPE / CEBRASPE
Orgão: Min. Saúde
Provas:
Com relação às políticas econômicas em geral e à participação do setor público na economia, julgue os itens que se seguem.

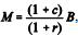
Sabendo-se que Enunciado 625161-1em que: M – meios de pagamento; B – base monetária; c – taxa de retenção de moeda pelo público; r – taxa de reservas bancárias, é correto afirmar que a expansão dos meios de pagamento depende diretamente da expansão da base monetária e da taxa de retenção de moeda pelo público, e inversamente da taxa de reservas bancárias
 

Provas

Questão presente nas seguintes provas

Economista

120 Questões