Magna Concursos
405231 Ano: 2017
Disciplina: Matemática
Banca: IFB
Orgão: IFB

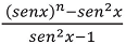
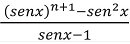
A série finita Enunciado 405231-1, x ≠ mπ + π/2 e m ∈ Enunciado 405231-2 é igual a:

 

Provas

Questão presente nas seguintes provas

Professor PEBTT - Matemática

50 Questões