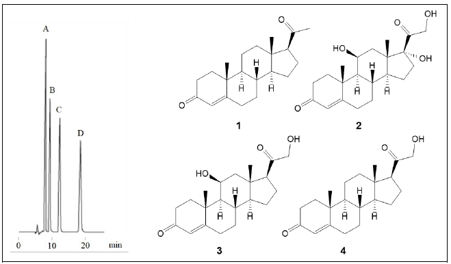
O cromatograma a seguir representa a separação dos hormônios representados pelas estruturas 1 a 4, através da cromatografia líquida de alta eficiência (HPLC) em fase reversa. O eluente foi metanol:água – 40:60.

Com base nesse cromatograma, os picos A, B, C e D estão respectivamente relacionados às estruturas