O enunciado abaixo servirá de base para as questões de 4 a 7.
"Furlan prega alta do dólar e irrita Lula e Palocci ."
(O Diário de Santa Catarina p. 13 – 14/01/2005).
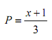
Continuando a seqüência acima determine a expressão que indica o número P de palitos em função do número x de quadrados.
