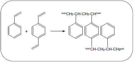
O princípio operacional do leito misto consiste na passagem da água a ser tratada através de um leito, contendo resinas catiônicas e aniônicas fortes, intimamente misturadas. Assim, o ácido formado será imediatamente neutralizado pela vizinhança do trocador aniônico. A alcalinidade formada será removida imediatamente pela resina trocadora catiônica. Por esse motivo, o leito misto elimina praticamente todas as impurezas. Os leitos mistos servem, portanto, como elementos de polimento final e de segurança, absorvendo qualquer escape anormal de sais das unidades de intercâmbio catiônico e aniônico. Com relação à matriz polimérica que, modificada origina as resinas usualmente utilizadas em leito misto, a produção mais utilizada está representada pela reação abaixo. O produto desta reação é denominado

Provas
Questão presente nas seguintes provas