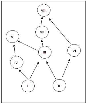
Analise a teia alimentar a seguir:
Assinale a afirmativa correta.
V e VII são carnívoros e consumidores secundários.
III, IV e VI são carnívoros e consumidores primários.
V, VI e VII são carnívoros e consumidores terciários.
VIII é carnívoro consumidor tanto terciário quanto quaternário.
Olá, para continuar, precisamos criar uma conta! É rápido e grátis.