Magna Concursos
3730328 Ano: 2025
Disciplina: Engenharia Eletrônica
Banca: FUNCERN
Orgão: IF-RN

Considerar estes valores quando necessário:

√2 = 1,41

√3 = 1,73

\( s \)\( e \)\( n \)(30°) = 1/2

\( s \)\( e \)\( n \)(45°) = √2/2

\( s \)\( e \)\( n \)(60°) = √3/2

\( \pi \) = 3,14

\( c \)\( o \)\( s \)(30°) = √3/2

\( c \)\( o \)\( s \)(45°) = √2/2

\( c \)\( o \)\( s \)(60°) = 1/2

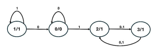
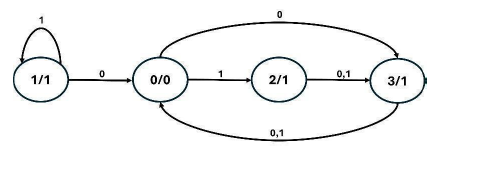
Uma rede sequencial de entrada “\( x \)” e saída “\( z \)” possui dois flip-flops do tipo JK (A e B). As funções de entrada dos flip-flops são descritas a seguir.

\( J \)\( A \) = \( x \)\( Q \)'\( B \) \( K \)\( A \) = \( Q \)\( B \)

\( J \)\( B \) = \( Q \)\( A \) \( K \)\( B \) = \( x \)'\( Q \)'\( A \)

A saída “\( z \)” é definida por:

\( z \) = \( Q \)\( A \) + \( Q \)\( B \)

O diagrama de estados dessa rede sequencial está corretamente representado na opção

 

Provas

Questão presente nas seguintes provas

Professor PEBTT - Eletroeletrônica

30 Questões