210490
Ano: 2013
Disciplina: TI - Desenvolvimento de Sistemas
Banca: CESPE / CEBRASPE
Orgão: TCE-ES
Disciplina: TI - Desenvolvimento de Sistemas
Banca: CESPE / CEBRASPE
Orgão: TCE-ES
Provas:

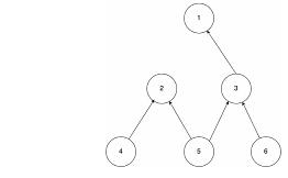
Considerando o grafo ilustrado acima, assinale a opção em que é apresentada a descrição em vértices (V) e arestas (A).