Magna Concursos
196327 Ano: 2018
Disciplina: Farmácia
Banca: CESPE / CEBRASPE
Orgão: HUB
Provas:

Enunciado 196327-1

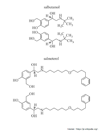
No que se refere às características dos fármacos salbutamol e salmeterol, administrados por via pulmonar, e cujas estruturas químicas estão representadas nas figuras precedentes, julgue os itens que se seguem.

Enunciado 196327-2
 

Provas

Questão presente nas seguintes provas

Residência em Farmácia

120 Questões