Magna Concursos
405902 Ano: 2017
Disciplina: Economia
Banca: IFB
Orgão: IFB
Provas:
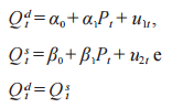
Um pesquisador deseja estimar um modelo econométrico que descreva o mercado de carne bovina em um determinado estado. Ele especifica as seguintes equações comportamentais: Enunciado 405902-1 onde Enunciado 405902-2 representa a quantidade demandada no período t, Enunciado 405902-3 a quantidade ofertada no período t, Pt o preço vigente no período t e uit são erros aleatóreos. Assinale a alternativa CORRETA.
 

Provas

Questão presente nas seguintes provas

Professor PEBTT - Economia

50 Questões