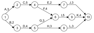
No cronograma de rede mostrado na figura, as atividades de um serviço de engenharia são representadas por letras, seguidas de seu tempo de execução, em dias.

A duração desse serviço de engenharia, em dias, é
No cronograma de rede mostrado na figura, as atividades de um serviço de engenharia são representadas por letras, seguidas de seu tempo de execução, em dias.

A duração desse serviço de engenharia, em dias, é