Considere a seguinte situação hipotética:
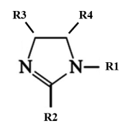
Um pesquisador deseja avaliar derivados da estrutura química abaixo indicada como inibidor de corrosão para meio de CO2 e H2S. O pesquisador precisa confirmar as estruturas químicas almejadas e pretende empregar técnicas de caracterização como a espectroscopia no infravermelho. Destaca-se que em cada caso, outras bandas aparecerão no espectro, porém apenas as bandas mencionadas em cada alternativa devem ser correlacionadas com a posição no espectro. Com base nessa situação, assinale a afirmativa incorreta quanto à correlação do tipo de banda e sua posição no espectro.

Um pesquisador deseja avaliar derivados da estrutura química abaixo indicada como inibidor de corrosão para meio de CO2 e H2S. O pesquisador precisa confirmar as estruturas químicas almejadas e pretende empregar técnicas de caracterização como a espectroscopia no infravermelho. Destaca-se que em cada caso, outras bandas aparecerão no espectro, porém apenas as bandas mencionadas em cada alternativa devem ser correlacionadas com a posição no espectro. Com base nessa situação, assinale a afirmativa incorreta quanto à correlação do tipo de banda e sua posição no espectro.

Provas
Questão presente nas seguintes provas