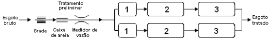
Considerando o esquema abaixo que representa um sistema de tratamento de esgoto sanitário por lagoas de estabilização, assinale a alternativa que apresenta corretamente os itens enumerados:

Considerando o esquema abaixo que representa um sistema de tratamento de esgoto sanitário por lagoas de estabilização, assinale a alternativa que apresenta corretamente os itens enumerados:
