Magna Concursos
143401 Ano: 2018
Disciplina: Matemática
Banca: IBADE
Orgão: Pref. Manaus-AM
Provas:

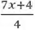
Considere as funções f(x - 4) =enunciado 143401-1 e g{3x + 1) = 6x + 5, definidas de enunciado 143401-2. Dessa forma, pode-se afirmar que g (f(f(x ))) é igual a:

 

Provas

Questão presente nas seguintes provas

Professor - Matemática

60 Questões