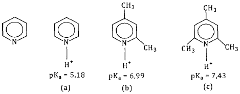
São dados a seguir as estruturas da piridina, as de alguns de seus derivados e os valores de pKa para esses derivados. São dadas também algumas informações sobre esses compostos:
I. o composto (a) é o ácido conjugado da piridina.
II. o composto (a) é base mais forte que (b) e (c).
III. os grupos metil aumentam a força básica da piridina.
IV. o composto (b) é um ácido mais fraco que (c).

Das informações dadas estão corretas:
Provas
Questão presente nas seguintes provas