896419
Ano: 2017
Disciplina: TI - Desenvolvimento de Sistemas
Banca: CESPE / CEBRASPE
Orgão: TRF-1
Disciplina: TI - Desenvolvimento de Sistemas
Banca: CESPE / CEBRASPE
Orgão: TRF-1
Provas:
Acerca dos conceitos de árvores e grafos, julgue o item que se segue.
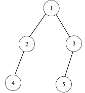
A árvore representada abaixo tem grau 3.
